Đáp án đề thi môn Toán tuyển sinh lớp 10 tỉnh Phú Thọ năm 2022
Đáp án đề thi môn Toán tuyển sinh lớp 10 tỉnh Phú Thọ năm 2022. Báo Giao thông cập nhật nhanh nhất, chính xác nhất.

Báo Giao thông sẽ cập nhật nhanh nhất, chính xác nhất đáp án đề thi môn Toán tuyển sinh lớp 10 tỉnh Phú Thọ năm 2022.
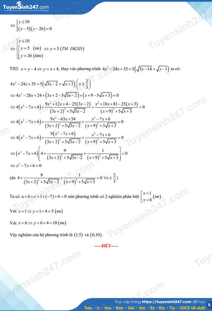
>>> Đáp án đề thi môn Toán tuyển sinh lớp 10 tỉnh Phú Thọ năm 2022:








>>> Đề thi môn Toán tuyển sinh lớp 10 tỉnh Phú Thọ năm 2022:


Ngày 12/6, hơn 15.000 thí sinh Phú Thọ đã chính thức bước vào kỳ thi tuyển sinh lớp 10 năm 2022 và hoàn thành bài thi hai môn Ngữ Văn, Tiếng Anh.
Trong sáng nay (13/6), các thí sinh sẽ làm bài thi môn Toán trong thời gian 120 phút.
Kỳ thi tuyển sinh vào lớp 10 THPT năm học 2022 - 2023 tỉnh Phú Thọ diễn ra từ ngày 12 - 14/6/2022 với tổng số 15.598 thí sinh dự thi tại 36 Hội đồng thi.
Tại các điểm thi, ngoài việc bắt buộc phải đeo khẩu trang, sát khuẩn tay; 100% học sinh được đo thân nhiệt trước khi thi.
Điểm mới của kỳ thi năm nay, mỗi Hội đồng coi thi bố trí một phòng thi riêng cho thí sinh thuộc diện F0 và ca bệnh nghi ngờ (test nhanh dương tính) đảm bảo cách biệt với phòng thi khác và đáp ứng yêu cầu phòng, chống dịch COVID-19. Đối với các thí sinh dự thi cần tuân thủ quy định không được phép mang vật dụng vào phòng thi mà phải để tại khu vực được bố trí riêng, đảm bảo cách xa phòng thi tối thiểu 25m.