Giáo dục

Đáp án đề thi tuyển sinh lớp 10 môn Toán năm 2019 ở Hà Nội

02/06/2019, 16:42

Đáp án đề thi tuyển sinh lớp 10 môn Toán năm 2019 ở Hà Nội cập nhật nhanh, chính xác nhất trên Báo Giao thông.

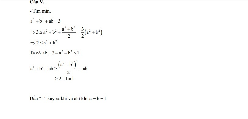
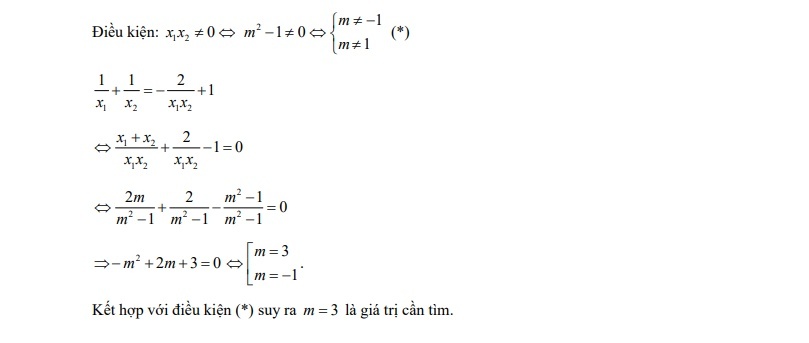
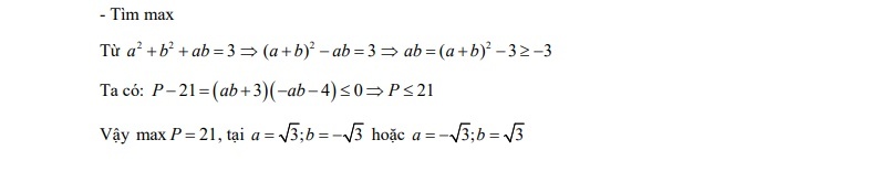
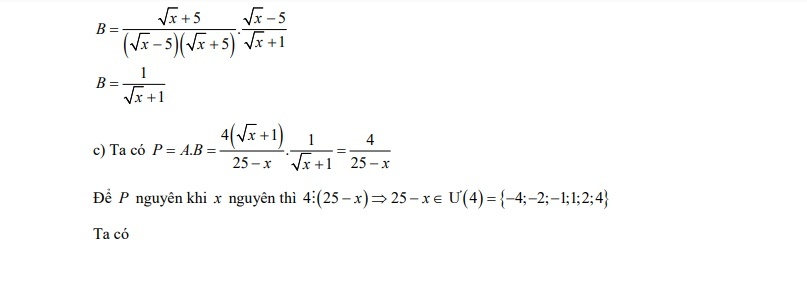
GỢI Ý ĐÁP ÁN ĐỀ THI TOÁN TUYỂN SINH LỚP 10 NĂM 2019 HÀ NỘI CHÍNH XÁC

>>> Đáp án đề thi tuyển sinh lớp 10 môn Toán năm 2019 ở TP.HCM

img
img
img
img
img
img
img
img
img
img
img
img
img

img
Đáp án môn Toán tuyển sinh lớp 10 tại Hà Nội cập nhật mới nhất

>>> Đề thi tuyển sinh lớp 10 môn Toán năm 2019 ở Hà Nội

img

Chiều nay (2/6), các sĩ tử thi vào lớp 10 ở Hà Nội đã làm bài thi môn Toán với thời gian 120 phút, hình thức thi tự luận.

Để đáp ứng sự quan tâm của thí sinh, phụ huynh, ngay sau khi kết thúc môn thi, Báo Giao thông sẽ cập nhật gợi ý đáp án đề thi nhanh nhất.