Đáp án đề thi tuyển sinh lớp 10 môn Toán ở Hà Nội năm 2021
Đáp án đề thi tuyển sinh lớp 10 môn Toán ở Hà Nội năm 2021. Báo Giao thông cập nhật nhanh nhất, đầy đủ, chính xác nhất.
Sáng nay (13/6), hơn 93.300 thí sinh Hà Nội đã làm bài thi môn Toán - môn thi thứ 3 trong kỳ thi tuyển sinh vào lớp 10 năm 2021-2022. Môn Toán có thời gian làm bài 90 phút. Các thí sinh bắt đầu làm bài thi lúc 8h30.
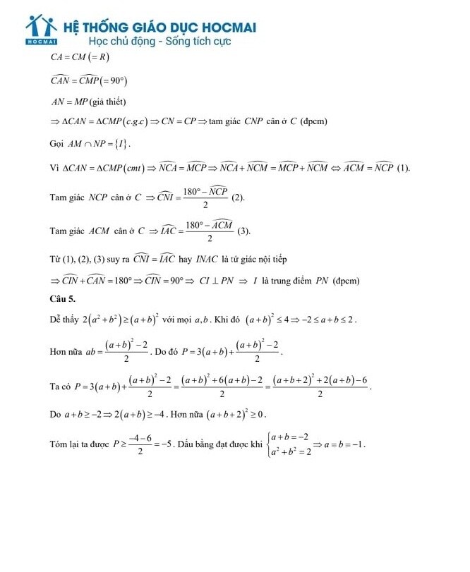
Đáp án đề thi tuyển sinh lớp 10 môn Toán Hà Nội năm 2021




Đề thi tuyển sinh lớp 10 môn Toán Hà Nội năm 2021

Đề thi môn Toán năm nay đã giảm thời gian làm bài 30 phút so với mọi năm. Do đó, mức độ yêu cầu về kiến thức và kỹ năng của đề thi được tinh giảm phù hợp với thời gian thi.
Theo nhận định ban đầu của một số giáo viên, đề năm nay có nhiều dạng bài quen thuộc, thí sinh làm bài cẩn thận, tính toán không sai dễ dàng đạt được điểm 9.
Sau khi kết thúc môn thi Toán, thí sinh sẽ làm bài thi môn cuối cùng - môn Lịch sử trong 45 phút (từ 10h30 đến 11h15).
Kỳ thi có hơn 93.000 thí sinh đăng ký dự thi tại 3.988 phòng thi, đặt tại 184 điểm thi trên địa bàn 30 quận, huyện, thị xã. Hà Nội đã điều động 14.484 cán bộ, giáo viên, nhân viên tham gia công tác coi thi. Công tác chuẩn bị tổ chức kỳ thi đã được chuẩn bị nghiêm túc, bảo đảm an toàn phòng, chống dịch.