Đáp án đề thi tuyển sinh vào lớp 10 môn Toán TP.HCM năm 2024
Đáp án đề thi tuyển sinh vào lớp 10 môn Toán TP.HCM năm 2024 được Báo Giao thông cập nhật mới nhất. Tham khảo đáp án môn Toán vào lớp 10 tại TP.HCM chính xác nhất.
>>> Đáp án đề thi tuyển sinh lớp 10 môn Tiếng Anh TP.HCM năm 2024
>>> Đáp án đề thi tuyển sinh lớp 10 môn Ngữ văn TP.HCM năm 2024
Sáng nay (7/6), hơn 98.000 thí sinh TP.HCM đã làm bài thi môn Toán, môn thi thứ ba trong kỳ thi tuyển sinh vào lớp 10 năm học 2024 - 2025. Thời gian làm bài thi này là 120 phút.
Báo Giao thông sẽ cập nhật nhanh nhất, chính xác nhất đáp án môn Toán tuyển sinh vào lớp 10 TP.HCM năm 2024 sau khi có đề thi.

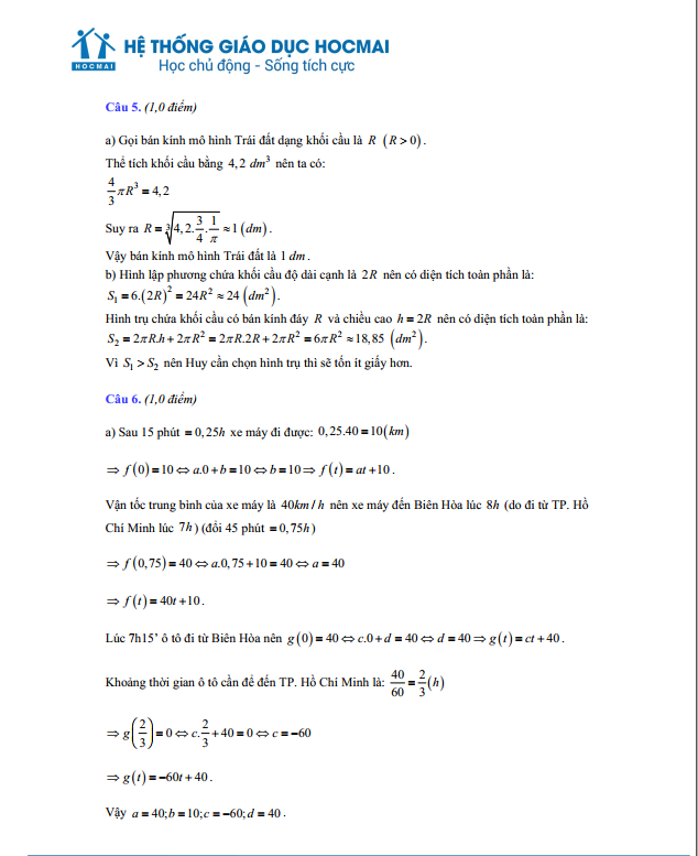
Đáp án môn Toán vào lớp 10 tại TP.HCM năm 2024.
Trước đó, trong ngày 6/6, các thi sinh TP.HCM đã hoàn thành bài thi môn Ngữ văn trong thời gian 120 phút và môn Ngoại ngữ trong thời gian 90 phút.
Theo Sở GD&ĐT TP.HCM, năm nay thành phố có 98.681 thí sinh đăng ký dự thi vào lớp 10 tại 158 điểm thi . Trong số này có 11 điểm thi dành cho thí sinh dự tuyển sinh lớp 10 chuyên. Còn lại là các điểm thi dành cho thí sinh dự tuyển sinh lớp 10 thường.
Trước đó, Sở Giáo dục và Đào tạo TP.HCM đã quyết định tăng 5.535 chỉ tiêu tuyển sinh lớp 10 tại 62 trường THPT công lập. Như vậy, tổng chỉ tiêu tuyển sinh lớp 10 năm học 2024-2025 ở TP.HCM là: 77.355 học sinh (chỉ tiêu ban đầu là 71.820 học sinh).
Điểm xét tuyển hệ đại trà là tổng điểm 3 môn Ngữ văn, Toán, Ngoại ngữ và điểm ưu tiên (nếu có). Thí sinh phải dự thi đủ ba môn, không vi phạm quy chế và các bài thi đều có điểm lớn hơn 0. Riêng xã đảo Thạnh An, huyện Cần Giờ, việc tuyển sinh lớp 10 theo hình thức xét tuyển.
Dự kiến trong ngày 20/6, Sở GD&ĐT TP.HCM sẽ công bố kết quả thi tuyển sinh vào lớp 10 của các thí sinh.
>>> Đáp án đề thi tuyển sinh vào lớp 10 môn Toán tại TP.HCM năm 2024





>>> Đề thi tuyển sinh vào lớp 10 môn Toán tại TP.HCM năm 2024

