Giáo dục
Đáp án đề thi vào lớp 10 môn Toán chuyên ở Hà Nội năm 2021
Đáp án đề thi vào lớp 10 môn Toán chuyên ở Hà Nội năm 2021. Báo Giao thông cập nhật nhanh nhất, đầy đủ, chính xác nhất.

Cập nhật đáp án đề thi vào lớp 10 môn Toán chuyên ở Hà Nội năm 2021
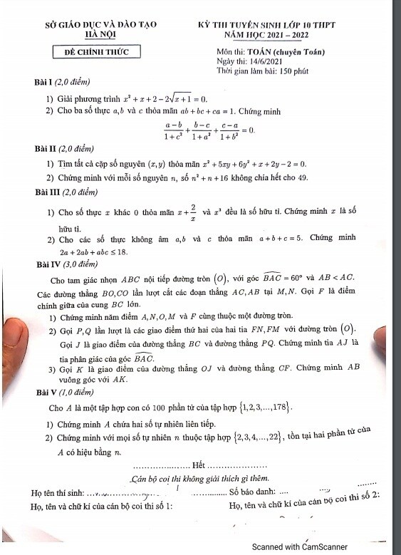
Sáng nay 14/6, các thí sinh đăng ký vào lớp chuyên Toán của các trường Chuyên, trường có lớp chuyên thuộc Sở GDĐT Hà Nội đã hoàn thành bài thi môn Toán chuyên.
>>> Đáp án đề thi vào lớp 10 môn Toán chuyên ở Hà Nội năm 2021






>>> Đề thi vào lớp 10 môn Toán chuyên ở Hà Nội năm 2021
