Giáo dục

Đáp án đề thi vào lớp 10 môn Toán tỉnh Hậu Giang năm 2020

18/07/2020, 15:46

Đáp án đề thi tuyển sinh vào lớp 10 môn Toán ở Hậu Giang năm 2020, Báo Giao thông cập nhật đầy đủ, chính xác sau khi thí sinh kết thúc môn thi.

img
img
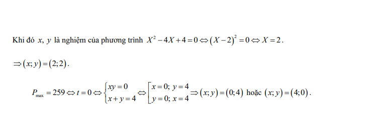
img
img
img
img
img

>>> Đề thi vào lớp 10 môn Toán tỉnh Hậu Giang năm 2020:

img
img