Giáo dục

Đáp án đề thi vào lớp 10 môn Toán tỉnh Nghệ An năm 2020

19/07/2020, 09:50

Đáp án đề thi vào lớp 10 môn Toán tỉnh Nghệ An năm 2020 được báo Báo thông cập nhật đầy đủ, thí sinh tham khảo thêm.

img
Các thí sinh được cha mẹ đưa đến điểm thi

Sáng 19/7, các thí sinh tỉnh Nghệ An hoàn thành bài thi cuối cùng của kỳ thi vào lớp 10 năm 2020. Môn Toán được các thí sinh trông chờ dễ thở, giảm áp lực cho kỳ thi nhiều cam go khi chỉ đáp ứng 78% thí sinh vào trường công lập.

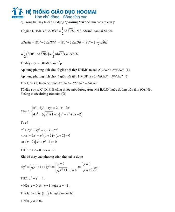
>>>Đáp án đề thi vào lớp 10 môn Toán tỉnh Nghệ An năm 2020

img
img
img
img
img

>>> Đề thi môn Toán vào lớp 10 Nghệ An

img

Nếu bài thi Văn được đánh giá dễ, nhẹ nhàng thì đề Ngoại ngữ lại mang tính phân loại cao khiến thí sinh khó kiếm điểm cao.