Đáp án đề thi vào lớp 10 môn Toán tỉnh Nghệ An năm 2021
Đáp án đề thi tuyển sinh vào lớp 10 môn Toán tỉnh Nghệ An năm 2021. Báo Giao thông cập nhật nhanh nhất, đầy đủ, chính xác nhất.

Đáp án đề thi vào lớp 10 môn Toán tỉnh Nghệ An năm 2021
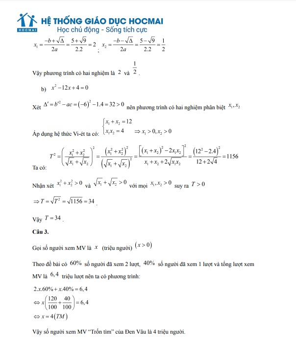
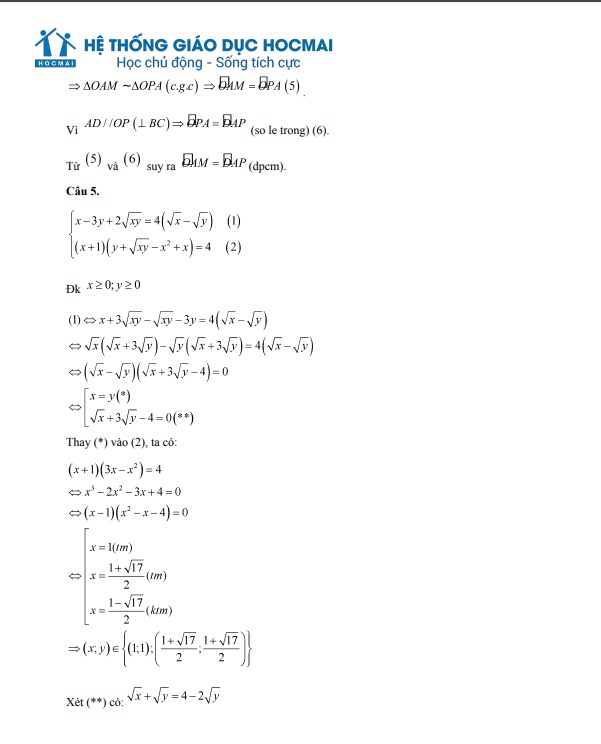
>>> Đáp án đề thi vào lớp 10 môn Toán tỉnh Nghệ An năm 2021:
(Do giáo viên Hệ thống giáo dục HocMai thực hiện)






>>> Đề thi vào lớp 10 môn Toán tỉnh Nghệ An năm 2021:

Sáng nay (4/6), hơn 36.000 thí sinh Nghệ An sẽ làm bài thi môn Toán trong kỳ thi tuyển sinh vào lớp 10 năm 2021-2022. Môn Toán có thời gian làm bài là 120 phút, các thí sinh sẽ bắt đầu làm bài thi lúc 8h.
Báo Giao thông sẽ cập nhật đáp án đề thi vào lớp 10 môn Toán tỉnh Nghệ An năm 2021 nhanh và chính xác nhất ngay sau khi có đề thi.
Kỳ thi tuyển sinh vào lớp 10 trên địa bàn tỉnh Nghệ An năm nay có hơn 36.000 thí sinh dự thi, tại 69 điểm thi. Kỳ thi được tổ chức vào 2 ngày 3 - 4/6/2021 với 3 môn là Toán, Ngữ văn và Ngoại ngữ (tiếng Anh hoặc tiếng Pháp).
Mỗi thí sinh được đăng ký tối đa 3 nguyện vọng: nguyện vọng 1 vào trường THPT (công lập, ngoài công lập) hoặc trung tâm GDTX hoặc trung tâm GDNN-GDTX; nguyện vọng 2 vào trường THPT (công lập, ngoài công lập) có tuyển sinh nguyện vọng 2 hoặc trung tâm GDTX hoặc trung tâm GDNN-GDTX; nguyện vọng 3 vào trường THPT (công lập, ngoài công lập) có tuyển sinh nguyện vọng 3 hoặc trung tâm GDTX hoặc trung tâm GDNN-GDTX.