Xã hội

Hà Nội: Thêm 342 ô tô, xe máy bị camera AI bắt lỗi vi phạm giao thông

06/01/2026, 19:11

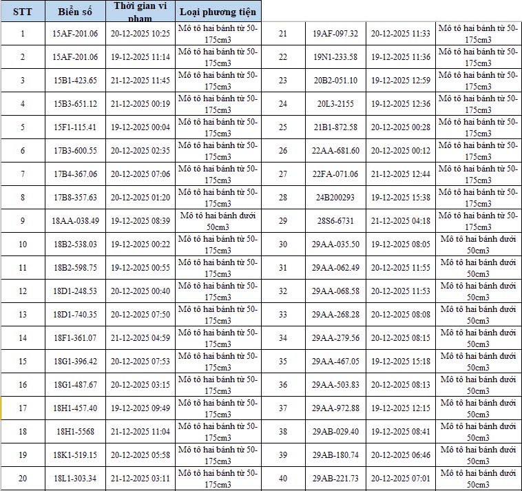
Từ ngày 19/12 - 21/12/2025, hệ thống camera AI phát hiện, ghi hình 342 phương tiện (gồm 82 ô tô, 260 xe máy) vi phạm trật tự an toàn giao thông.

Ngày 6/1, Phòng CSGT Công an Hà Nội đã gửi thông báo phạt nguội đến các chủ phương tiện. Chủ xe, người điều khiển có thể tra cứu thông tin trên ứng dụng VNeTraffic hoặc trang thông tin điện tử của Cục CSGT tại địa chỉ www.csgt.vn.

Ngoài ra, có thể liên hệ trực tiếp Đội Chỉ huy giao thông và điều khiển đèn tín hiệu giao thông (Phòng CSGT) tại số 54 Trần Hưng Đạo, phường Cửa Nam để được hướng dẫn, giải quyết.

Hà Nội: Thêm 342 ô tô, xe máy bị camera AI bắt lỗi vi phạm giao thông- Ảnh 1.

Hà Nội: Thêm 342 ô tô, xe máy bị camera AI bắt lỗi vi phạm giao thông- Ảnh 2.

Hà Nội: Thêm 342 ô tô, xe máy bị camera AI bắt lỗi vi phạm giao thông- Ảnh 3.

Hà Nội: Thêm 342 ô tô, xe máy bị camera AI bắt lỗi vi phạm giao thông- Ảnh 4.

Hà Nội: Thêm 342 ô tô, xe máy bị camera AI bắt lỗi vi phạm giao thông- Ảnh 5.

Hà Nội: Thêm 342 ô tô, xe máy bị camera AI bắt lỗi vi phạm giao thông- Ảnh 6.

Hà Nội: Thêm 342 ô tô, xe máy bị camera AI bắt lỗi vi phạm giao thông- Ảnh 7.

Hà Nội: Thêm 342 ô tô, xe máy bị camera AI bắt lỗi vi phạm giao thông- Ảnh 8.