>>>Đáp án đề thi tuyển sinh lớp 10 môn Ngữ văn TP.HCM năm 2023
Đáp án đề thi tuyển sinh lớp 10 môn Tiếng Anh TP.HCM năm 2023

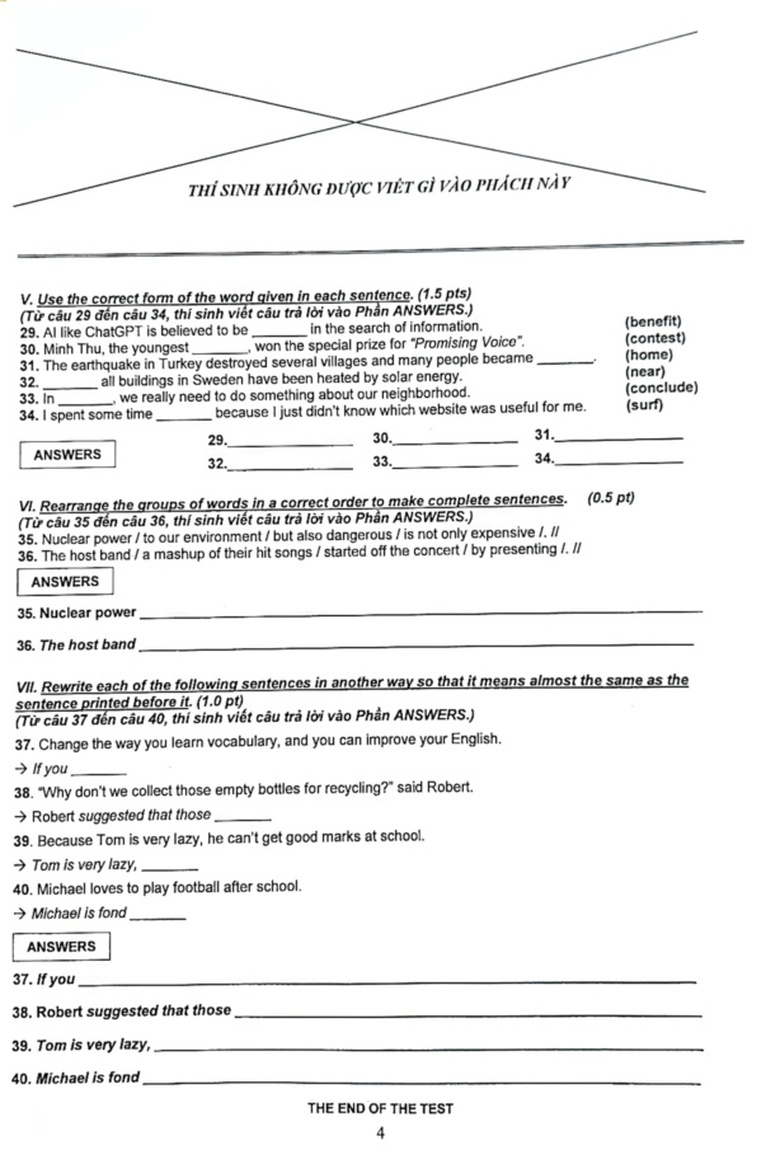
>>> Đề thi tuyển sinh lớp 10 môn Tiếng Anh TP.HCM năm 2023




Nguồn: Thanhnien.vn
Chiều nay (6/6), hơn 96.300 thí sinh TP.HCM sẽ làm bài thi môn Tiếng Anh, môn thi thứ hai trong kỳ thi tuyển sinh lớp 10 năm 2023. Thời gian làm bài thi này là 90 phút.
Báo Giao thông cập nhật nhanh nhất, chính xác nhất đáp án đề thi môn Tiếng Anh tuyển sinh lớp 10 TP.HCM năm 2023.

Đáp án đề thi tuyển sinh lớp 10 môn Tiếng Anh TP.HCM năm 2023
Theo Sở GD&ĐT TP.HCM,kỳ thi tuyển lớp 10 công lập năm 2023 sẽ diễn ra trong vòng 2 ngày là ngày 6 và 7/6. Năm 2023, 114 trường THPT trên địa bàn tuyển sinh với 77.294 chỉ tiêu vào lớp 10. Trong khi đó, có tới 96.325/113.802 học sinh đăng ký thi tuyển sinh vào lớp 10. Vậy nên, sẽ có 19.031 thí sinh rớt lớp 10 công lập.
Sở GD&ĐT TP.HCM cho biết, toàn thành phố có 158 điểm thi tại các trường THCS, THPT với tổng cộng 4.102 phòng thi. Trong đó, có 147 điểm thi dành cho thí sinh thi vào lớp 10 thường và 11 điểm thi dành cho thí sinh thi vào lớp 10 chuyên và tích hợp. Mỗi điểm thi sẽ có thêm 3 phòng thi dự phòng. Tại mỗi điểm thi sẽ có lực lượng bảo vệ, công an giám sát.
Bình luận bài viết (0)
Gửi bình luận