Sáng nay (9/6), các thí sinh Hà Nội đã làm bài thi môn Toán tuyển sinh vào lớp 10 năm học 2024 - 2025. Thời gian làm bài thi này là 120 phút.
Báo Giao thông sẽ cập nhật nhanh nhất, chính xác nhất đáp án đề thi môn Toán tuyển sinh lớp 10 Hà Nội năm 2024 sau khi có đề thi.

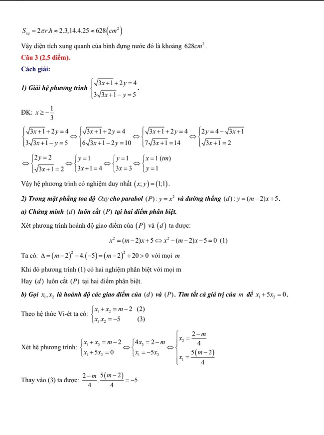
Đáp án đề thi tuyển sinh lớp 10 môn Toán Hà Nội năm 2024.
Trước đó, trong ngày 8/6, các thí sinh đã hoàn thành bài thi môn Ngữ văn trong thời gian 120 phút và môn Ngoại ngữ trong thời gian 60 phút.
Theo Sở GD&ĐT Hà Nội, năm nay toàn thành phố có trên 117.000 lượt thí sinh đăng ký. Trong đó, gần 106.000 lượt thí sinh đăng ký dự thi lớp 10 công lập, hơn 11.000 lượt thí sinh đăng ký dự thi môn chuyên và hơn 250 lượt thí sinh dự thi song bằng.
Cũng theo theo Sở GD&ĐT Hà Nội, ngay sau khi kết thúc kỳ thi, Ban làm phách sẽ bắt tay ngay vào công đoạn làm phách và bàn giao bài thi cho Ban chấm thi theo quy định. Đối với môn trắc nghiệm, Sở GD&ĐT chuẩn bị máy tính, cài đặt phần mềm… thực hiện chấm theo hướng dẫn trước đó.
Ngày 24/6 đến ngày 2/7, Sở GD&ĐT thực hiện ghép điểm xét tuyển cho từng thí sinh. In phiếu báo kết quả thi cho từng thí sinh đồng thời cấp phiếu báo kết quả thi cho Phòng GD&ĐT.
Chậm nhất ngày 2/7, Sở GD&ĐT sẽ công bố điểm bài thi các môn của thí sinh trên Cổng thông tin điện tử của ngành, Cổng tuyển sinh đầu cấp của thành phố Hà Nội mới.
Cũng theo hướng dẫn, ngay sau khi có điểm, thí sinh cảm thấy băn khoăn về mức điểm các môn có thể làm đơn phúc khảo để chấm lại. Đơn phúc khảo nộp về Phòng GD&ĐT từ ngày 3-9/7.

Lịch thi tuyển sinh lớp 10 năm 2024 tại Hà Nội
Đề thi môn Toán vào lớp 10 tại Hà Nội 2024
Đáp án đề thi môn Toán tuyển sinh vào lớp 10 tại Hà Nội năm 2024
Xem thêm:
>>> Đáp án đề thi tuyển sinh lớp 10 môn Ngữ văn Hà Nội năm 2024
>>> Đáp án đề thi tuyển sinh lớp 10 môn Ngoại ngữ Hà Nội năm 2024
Bình luận bài viết (0)
Gửi bình luận