Sáng nay (7/6), hơn 70.000 thí sinh tại TP.HCM đã làm bài thi môn Toán, môn thi cuối trong kỳ thi tuyển sinh vào lớp 10 năm học 2025-2026. Thời gian làm bài thi môn Toán là 120 phút. Giờ bắt đầu làm bài là 8h.
Trước đó, trong ngày 6/6, các thí sinh đã hoàn thành bài thi môn Ngữ văn và Ngoại ngữ.

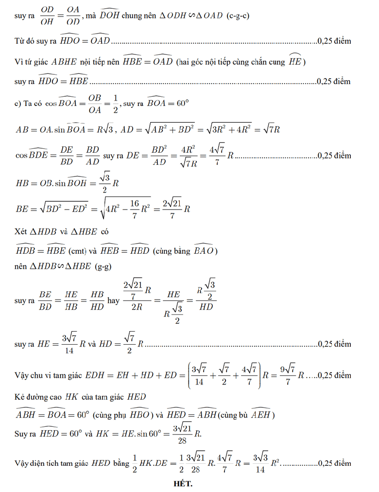
Đáp án đề thi tuyển sinh lớp 10 môn Toán TP.HCM năm 2025.
Báo Xây dựng sẽ cập nhật nhanh nhất, chính xác nhất Gợi ý đáp án đề thi môn Toán tuyển sinh lớp 10 TP.HCM năm 2025.
>>> Đáp án đề thi tuyển sinh lớp 10 môn Toán TP.HCM năm 2025




>>> Đề thi tuyển sinh lớp 10 môn Toán TP.HCM năm 2025


Theo Sở Giáo dục và Đào tạo TP.HCM, kỳ thi tuyển sinh lớp 10 năm nay có 76.435 thí sinh đăng ký dự thi, giảm 27.330 em so với năm trước. Năm nay, 115 trường THPT công lập tại TP.HCM tuyển 70.070 chỉ tiêu vào lớp 10.
Để bảo đảm kỳ thi diễn ra nghiêm túc và an toàn, sở đã huy động 9.548 giáo viên coi thi cùng 1.846 nhân viên hỗ trợ, đồng thời tổ chức kiểm tra cơ sở vật chất tại các điểm thi vào ngày 4/6 và áp dụng quy trình bảo mật, an ninh tương tự như kỳ thi tốt nghiệp THPT.
Bình luận bài viết (0)
Gửi bình luận