Đáp án môn Toán kỳ thi tốt nghiệp THPT Quốc gia 2021 - Đáp án chính thức của bộ GDĐT 24 mã đề 101, 102, 103, 104, 105, 106, 107, 108, 109, 110, 111, 112, 113 114, 115, 116, 117, 118, 119, 121, 122, 123, 124 chính xác nhất.
Đáp án chính thức môn Toán của bộ GĐ&ĐT kỳ thi tốt nghiệp THPT 2021

Đáp án môn toán thi tốt nghiệp THPT 2021 của bộ GDĐT
Đáp án môn Toán kỳ thi tốt nghiệp THPT 2021 trước đó của Tuyensinh247.com
Đáp áp môn Toán mã đề 101 (Full)

Đáp áp môn Toán mã đề 102 (Full)

Đáp áp môn Toán mã đề Mã đề 103 (Full)

Đáp áp môn Toán mã đề 104 (Full)

Đáp áp môn Toán mã đề 105 (Full)

Đáp áp môn Toán mã đề 106 (Full)

Đáp áp môn Toán mã đề 107 (Full)

Đáp áp môn Toán mã đề 108 (Full)

Đáp áp môn Toán mã đề 109 (Full)

Đáp áp môn Toán mã đề 110 (Full)

Đáp áp môn Toán mã đề 111 (Full)

Đáp áp môn Toán mã đề 112 (full)

Đáp áp môn Toán mã đề 113 (Full)

Đáp áp môn Toán mã đề 114 (Full)

Đáp áp môn Toán mã đề 115 (Full)

Đáp áp môn Toán mã đề 116 (Full)

Đáp áp môn Toán mã đề 117 (Full)

Đáp áp môn Toán mã đề 118 (Full)

Đáp áp môn Toán mã đề 119 (Full)

Đáp áp môn Toán mã đề 120 (Full)

Đáp áp môn Toán mã đề 121 (Full)

Đáp áp môn Toán mã đề 122 (Full)

Đáp áp môn Toán mã đề 123 (Full)

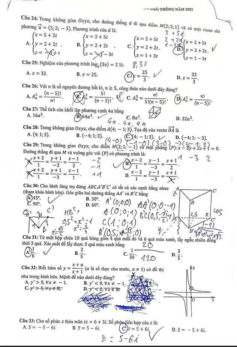
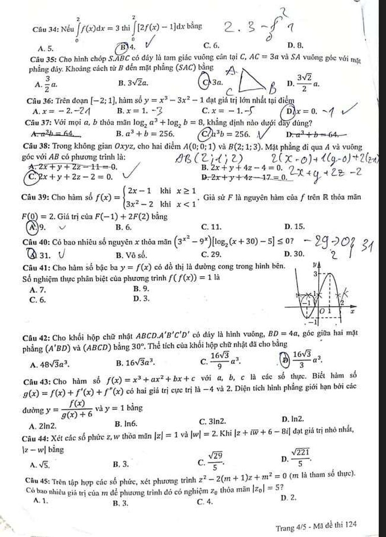
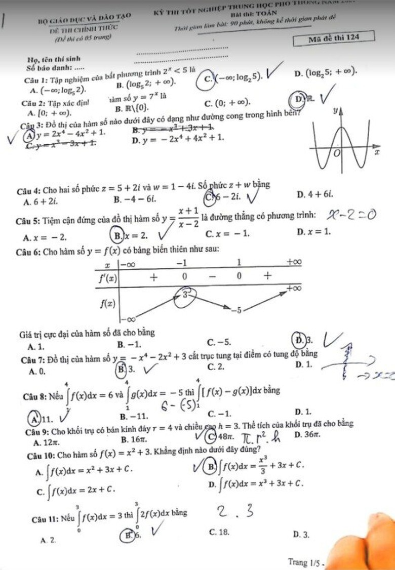
Đáp áp môn Toán mã đề 124 (Full)

Đề thi môn Toán kỳ thi tốt nghiệp THPT 2021 mã đề 119



Đề thi môn Toán kỳ thi tốt nghiệp THPT 2021 mã đề 101

Đề thi môn Toán thi tốt nghiệp THPT Quốc gia 2021 mã đề 121.





Đề thi môn Toán thi tốt nghiệp THPT Quốc gia 2021 mã đề 124.





Đề thi môn Toán thi tốt nghiệp THPT Quốc gia 2021 mã đề 116





Đề thi môn Toán thi tốt nghiệp THPT Quốc gia 2021 mã đề 112.





Đề thi môn Toán thi tốt nghiệp THPT Quốc gia 2021 mã đề 123.





Sáng cùng ngày, các sĩ tử đã hoàn thành bài thi môn Ngữ văn.
Bộ GD&ĐT cho biết đã có tổng số 1.014.972 thí sinh đăng ký dự thi trên hệ thống. Năm 2020, cả nước có hơn 900 nghìn thí sinh đăng ký dự thi. Năm nay, thí sinh tự do có 41.944, chiếm 4,13%.
Trong số các thí sinh đăng ký dự thi, thí sinh chỉ xét tốt nghiệp THPT là 222.356, chiếm 21,91%. Thí sinh chỉ xét tuyển sinh: 33.779, chiếm 3,33%. Thí sinh xét tốt nghiệp THPT và tuyển sinh: 758. 837, chiếm 74,76%.
Bình luận bài viết (0)
Gửi bình luận