 |
Gợi ý đáp án đề thi môn Toán tốt nghiệp THPT Quốc gia năm 2017 nhanh và chính xác nhất (ảnh minh hoạ)
|
Chiều nay (22/6), hơn 860.000 thí sinh trên cả nước sẽ bắt đầu làm bài thi môn Toán kỳ thi THPT Quốc gia 2017. Đây là môn thi thứ hai trong kỳ thi THPT quốc gia năm 2017 để xét tốt nghiệp Trung học Phổ thông và xét tuyển vào các trường Đại học, Cao đẳng.
Thí sinh sẽ làm bài thi trong 90 phút, thời gian bắt đầu làm bài thi là từ 14h30 phút.
Nhận xét về đề thi môn Toán năm nay, thầy Nguyễn Tiến Đạt - GV môn Toán tại Hoc24h.vn cho rằng, đề thi khá chất lượng. Những câu phân loại thực sự hay và chia rõ ràng trình độ và không như các đề minh hoạ lần trước.
"Đề hạn chế máy tính tối đa, chỉ sử dụng đc 40%. Học sinh phải nắm chắc kiến thức mới có thể trên điểm 8", thầy Đạt nhận định.
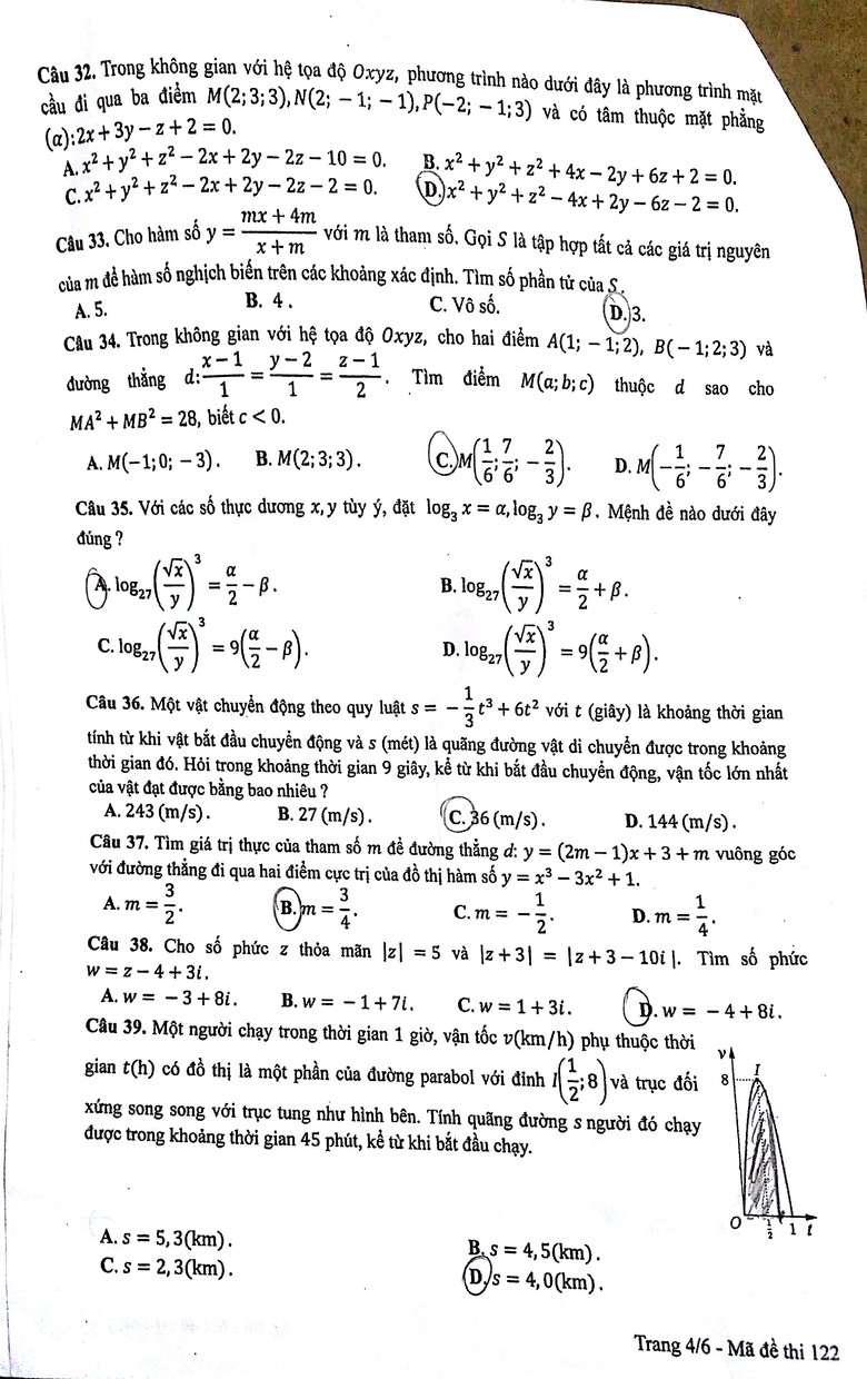
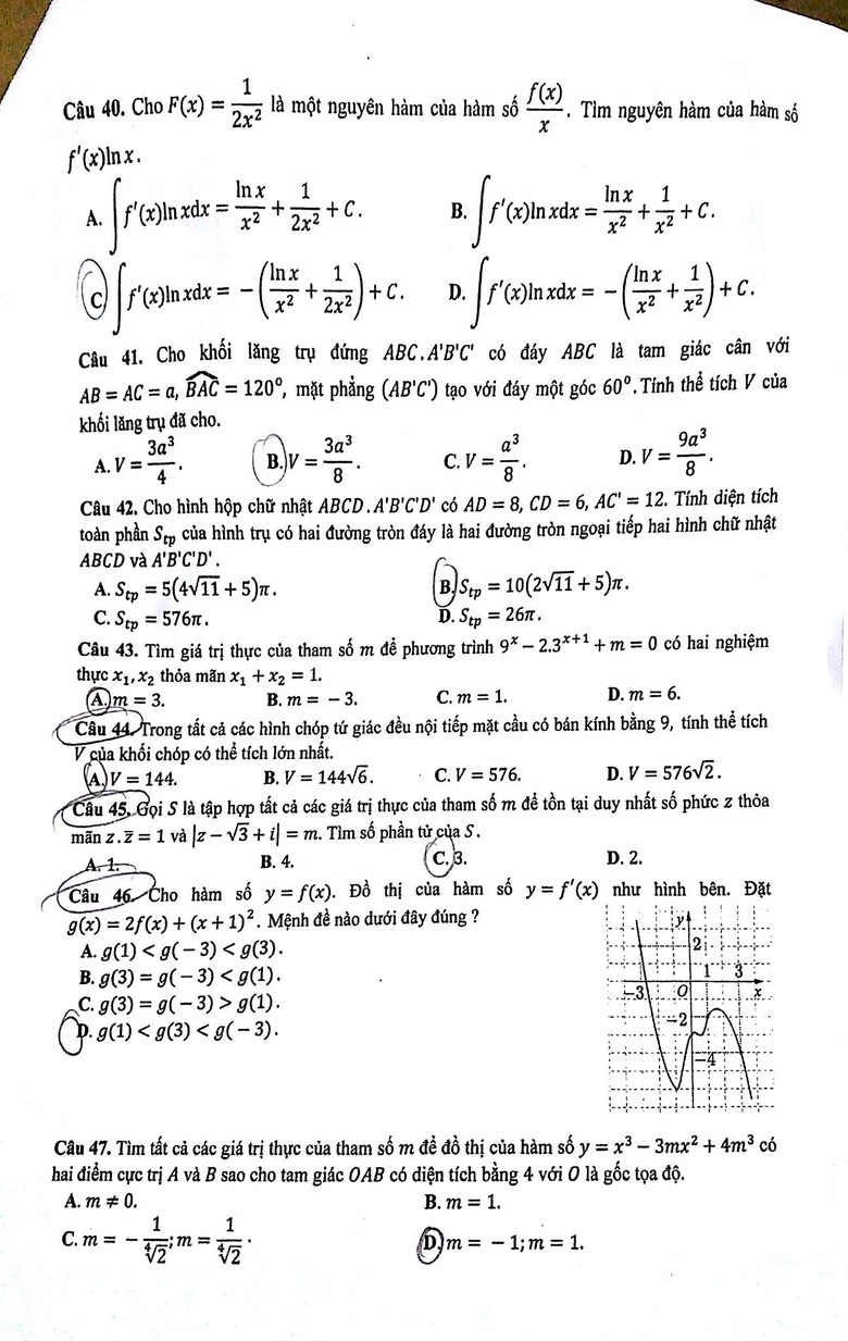
Đề thi chính thức môn Toán tốt nghiệp THPT quốc gia 2017, mã đề 122:
Đáp án gợi ý môn Toán mã đề 122 (Đang cập nhật):
Bình luận bài viết (0)
Gửi bình luận