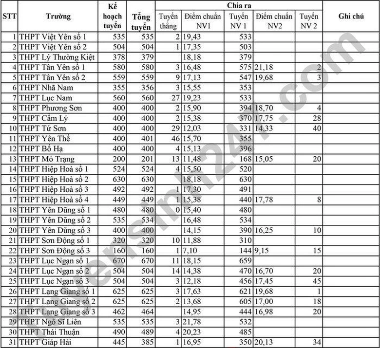
Điểm chuẩn vào lớp 10 Bắc Giang năm 2022
Sở GD&ĐT Bắc Giang vừa công bố điểm chuẩn trúng tuyển vào lớp 10 THPT công lập năm học 2022-2023.
Trường THPT Ngô Sĩ Liên (TP Bắc Giang) có điểm chuẩn cao nhất với 21,78 điểm, sau đó là Trường THPT Thái Thuận 20,23 điểm.
Điểm trúng tuyển nguyện vọng 1 thấp nhất là Trường THPT Sơn Động số 3 với 7,1 điểm.
Điểm chuẩn cụ thể từng trường như sau:

Điểm chuẩn vào lớp 10 Chuyên Lâm Đồng
Tỉnh Lâm Đồng đã công bố điểm chuẩn tuyển sinh vào lớp 10 Chuyên năm học 2022 - 2023 các trường THPT Chuyên Bảo Lộc và THPT Chuyên Thăng Long - Đà Lạt. Xem chi tiết dưới đây:1. Trường THPT Chuyên Bảo Lộc
Điểm chuẩn trường THPT Chuyên Bảo Lộc:
- Lớp chuyên Toán: 35 học sinh, điểm chuẩn: 29.4 điểm
- Lớp chuyên Tin học: 35 học sinh, điểm chuẩn: 25.95 điểm
- Lớp chuyên Vật lý: 35 học sinh, điểm chuẩn: 21.20 điểm
- Lớp chuyên Hóa học: 35 học sinh, điểm chuẩn: 27.85 điểm
- Lớp chuyên Sinh học: 35 học sinh, điểm chuẩn: 24.3 điểm
- Lớp chuyên Ngữ Văn: 35 học sinh, điểm chuẩn: 28,2 điểm
- Lớp chuyên Tiếng Anh: 35 học sinh, điểm chuẩn: 36.75 điểm
Điểm chuẩn THPT Chuyên Thăng Long - Đà Lạt:

Điểm chuẩn vào lớp 10 THPT Chuyên Nguyễn Tất Thành - Kon Tum
Điểm chuẩn trúng tuyển vào lớp 10 trường THPT Chuyên Nguyễn Tất Thành, tỉnh Kon Tum năm học 2022 - 2023 cao nhất 34,75 điểm - chuyên Văn.
Điểm chuẩn cụ thể từng lớp:

Điểm chuẩn vào lớp 10 Phú Thọ
Tính đến sáng 12/7, đã có 17 trường THPT (không chuyên) của tỉnh Phú Thọ công bố điểm chuẩn tuyển sinh vào lớp 10 năm học 2022-2023.
Điểm chuẩn cụ thể của các trường THPT như sau:
THPT Công nghiệp Việt Trì 41,5 điểm
THPT Việt Trì 39,5 điểm
Kỹ thuật Việt Trì 33,2 điểm
Phổ thông Dân tộc Nội trú tỉnh 21,8 điểm
THPT Long Châu Sa 32,1 điểm
THPT Phong Châu 30,7 điểm
THPT Phù Ninh 34,6 điểm
THPT Trung Giáp 27,6 điểm
THPT Tử Đà 26,9 điểm
THPT Thanh Thuỷ 34,5 điểm
THPT Trung Nghĩa 26,5 điểm
THPT Cẩm Khê 25,4 điểm.
THPT Hạ Hòa 34,8 điểm
THPT Vĩnh Chân 26,3 điểm
THPT Xuân Áng 17,7 điểm
THPT Hùng Vương 35,8 điểm
THPT dân tộc nội trú Yên Lập 24,6 điểm
Bình luận bài viết (0)
Gửi bình luận