Nhận bản tin miễn phí
Thời sự Xây dựng Giao thông Kinh tế Pháp luật Chất lượng sống Văn hóa - Giải trí Thể thao Công nghệ Thế giới Đi ++ Video Multimedia
Báo Xây dựng - Tin tức trong ngày, tin mới nhất, tin nhanh 24h Giáo dục

Lưu ý những sai lầm dễ gặp này, sẽ cầm chắc điểm cao môn Toán thi vào 10

Lưu ý những sai lầm dễ gặp này, sẽ cầm chắc điểm cao môn Toán thi vào 10

26/05/2019, 16:06

Thầy Hồng Trí Quang "chỉ điểm" chi tiết những sai lầm dễ gặp trong các dạng bài Toán khiến thí sinh mất điểm trong kỳ thi vào lớp 10.

Thầy Hồng Trí Quang, Giáo viên Toán nhiều năm kinh nghiệm giảng dạy các khóa học luyện thi vào 10 tại Hệ thống giáo dục Học Mãi "chỉ điểm" chi tiết những sai lầm khiến thí sinh dễ mất điểm trong khi thi vào lớp 10. Sau đây là chi tiết những lỗi thường gặp ở các dạng bài phần Đại số:

Bài toán về Căn thức:

img
Lưu ý lỗi thường gặp trong bài toán Căn thức
img
Lưu ý lỗi thường gặp trong bài toán Căn thức

Giải toán bằng cách lập phương trình Đồ thị hàm số:

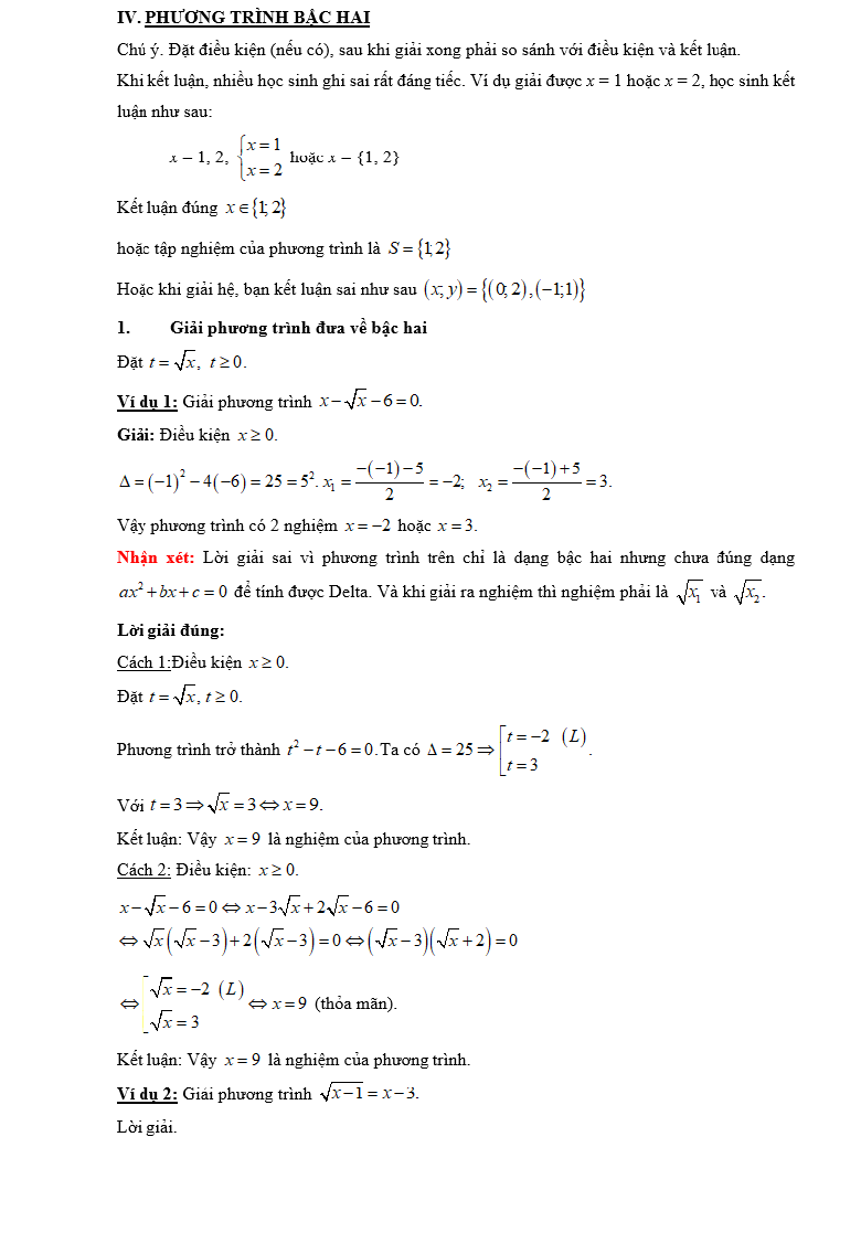
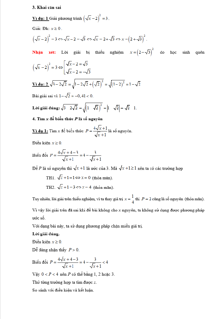
Phương trình bậc hai:

img
Lưu ý trong giải bài toán phương trình bậc 2
img
Lưu ý trong giải bài toán phương trình bậc 2
img
Lưu ý trong giải bài toán phương trình bậc 2
img
Lưu ý trong giải bài toán phương trình bậc 2

Riêng với phần Hình học, theo đánh giá của thầy Quang, các thí sinh ít nhầm lẫn, tuy nhiên có một số lưu ý. Cụ thể:

a) Vẽ hình chính xác và đủ nét (vẽ hình sai thì bài sẽ không được chấm). Chỉ đường tròn được vẽ bút chì, các đường khác vẽ cùng màu với chữ viết. Khi gọi thêm điểm phải ta phải gọi trong bài.

b) Không vẽ hình vào trường hợp đặc biệt, tránh ngộ nhận. Đề bài cho tam giác thường thì ta không nên vẽ tam giác đều, hoặc tam giác vuông.

c) Ký hiệu 2 tam giác bằng nhau hoặc đồng dạng đúng thứ tự.

d) Khi sử dụng định lí, hoặc dấu hiệu nào cần ghi chính xác. Một số dấu hiệu nhận biết tứ giác nội tiếp mà học sinh cần nắm được: Tứ giác có tổng hai góc đối bằng 1800; Tứ giác có góc ngoài tại một đỉnh bằng góc trong tại đỉnh đối của đỉnh đó; Tứ giác có bốn đỉnh cách đều một điểm (mà ta có thể xác định được). Điểm đó là tâm của tứ giác nội tiếp; Tứ giác có hai đỉnh kề nhau cùng nhìn cạnh chứa hai đỉnh còn lại dưới hai góc bằng nhau.

e) Không dùng điều đang cần chứng minh để chứng minh chính nó.

Điều này nghe thì hài hước, nhưng những học sinh yếu và trung bình khi gặp những bài hình khó (ví dụ chứng minh thẳng hằng, đồng quy…) thì do nhìn trên hình thấy các điểm đó thẳng hàng nên ngộ nhận và sử dụng ba điểm thẳng hàng để chứng minh chính ba điểm đó thẳng hàng.

Bên cạnh đó cùng lưu ý đến một số kĩ năng nâng cao:

1) Kĩ năng dự đoán và chứng minh quỹ tích, chứng minh điểm cố định.

Dự đoán: Vẽ 2 đến 3 vị trí của điểm chuyển động và quan sát các hình vẽ.

Chứng minh điểm cố định bằng cách chọn các độ dài đoạn thẳng cụ thể, ta dự đoán được các đẳng thức.

2) Chứng minh bất đẳng thức hoặc tìm Giá trị lớn nhất, Giá trị nhỏ nhất

Dự đoán điểm rơi – dấu “=” xảy ra. Học sinh có thể thử các giá trị đặc biệt, sử dụng máy tính cầm tay, hoặc cân bằng hệ số.

Sau khi dự đoán dấu “=”, ta căn cứ vào đó để tách ghép hoặc đánh giá.

Bạn cần đăng nhập để thực hiện chức năng này!

Bạn không thể gửi bình luận liên tục. Xin hãy đợi
60 giây nữa.