![]() |
| Trà Ô Long TEA+ Plus "chất lượng Nhật Bản" của Pepsi nhưng dùng nguyên liệu của Trung Quốc |
Thông tin sản phẩm Trà Ô Long TEA+ Plus của tập đoàn Suntory PepsiCo Việt Nam được quảng cáo sản xuất trên dây chuyền hiện đại của Nhật Bản, chất lượng Nhật Bản nhưng nguyên liệu từ... Trung Quốc đã dấy lên nhiều ý kiến cho rằng nhà sản xuất không minh bạch thông tin, cố tình lừa dối người tiêu dùng.
Trao đổi với Báo Giao thông, ông Đỗ Ngọc Chính, Ủy viên BCH Hội Tiêu chuẩn và Bảo vệ người tiêu dùng Việt Nam cho rằng: "Người tiêu dùng cần nhất là sự minh bạch rõ ràng trong thông tin mà các nhà sản xuất đưa đến cho họ. Doanh nghiệp càng minh bạch, càng rõ ràng thì người tiêu dùng càng tôn trọng".
Đại diện Hội Tiêu chuẩn và Bảo vệ người tiêu dùng Việt Nam nhận định, hiện nay có tình trạng một số doanh nghiệp mập mờ về thông tin để thu hút sự chú ý của người tiêu dùng đối với sản phẩm của mình, tuy nhiên sự gian dối sẽ không thể kéo dài.
"Các doanh nghiệp mập mờ thông tin cần phải hiểu, người tiêu dùng hiện nay không còn kém thông tin như những năm trước đây, họ cũng có rất nhiều sản phẩm để lựa chọn. Chính vì vậy, sản phẩm nào có chất lượng tốt, thông tin minh bạch, rõ ràng thì sẽ được sự ủng hộ. Nếu cố tình lập lờ, doanh nghiệp sẽ chỉ gian dối được trong thời gian ngắn, trong thương lai người tiêu dùng sẽ không hưởng ứng sản phẩm ấy đâu" - ông Chính nói.
![]() |
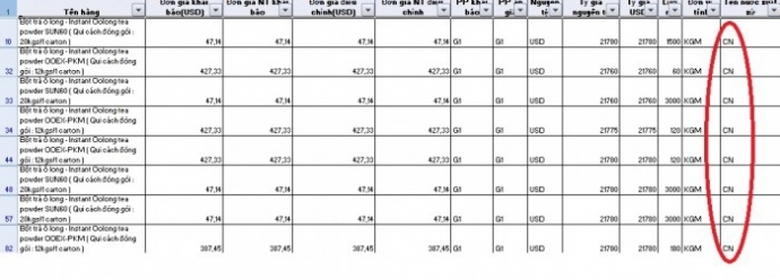
| Tờ khai hải quan nhập khẩu nguyên liệu từ Trung Quốc |
Trước đó, như tin đã đưa, nắm bắt tâm lý người tiêu dùng về sự nổi tiếng của trà đạo của Nhật Bản, Tập đoàn Suntory PepsiCo Việt Nam đã khai sinh một loại sản phẩm mới là trà Ô Long TEA+ Plus.
Loại trà này của PepsiCo Việt Nam được quảng cáo là sản xuất từ dây chuyền hiện đại của Nhật Bản và có... chất lượng Nhật Bản.
Gắn "mác Nhật" và được quảng cáo rầm rộ, trà Ô Long TEA+ Plus đã nhanh chóng chiếm lĩnh một phần thị trường nước giải khát.
Tuy nhiên, Theo tài liệu do Báo Giao thông thu thập được, trong tờ khai hải quan được mở tại Cục Hải quan thành phố Hồ Chí Minh thì nguyên liệu sản xuất trà Ô Long TEA+Plus được nhập từ Trung Quốc, không phải từ Nhật Bản. Ngoài ra dây chuyền sản xuất của trà Ô Long có phải của Nhật Bản hay không cũng đang bị hoài nghi và cần sự công khai thông tin từ phía PepsiCo.
Nhiều độc giả Báo Giao thông phản hồi rằng, việc "nguyên liệu nhập từ Trung Quốc" có đạt chất lượng Nhật Bản hay không cần phải xem xét tiếp. Tuy nhiên, việc không công khai nhập khẩu nguyên liệu từ Trung Quốc khiến người tiêu dùng có quyền đặt nghi vấn.
|
Nông dân Việt lo mất Tết vì... ế trà Ô Long Người nông dân trồng trà Ô Long trong nước đang lao đao, gặp nhiều khó khăn vì “tắc” đầu ra do gần đây các doanh nghiệp trên liên tục ra thông báo hạn chế, tạm dừng thu mua nguyên liệu trà Ô Long. Nông dân trồng trà chỉ còn nước khóc ròng vì giá thu mua quá thấp và nhỏ giọt, có nơi trà Ô Long chỉ bán được với giá 15.000-20.000 đồng/kg, bằng một nửa so với trước. Trong khi đó, thay vì sử dụng nguồn nguyên liệu an toàn, giá rẻ được cung ứng từ trong nước thì Suntory PepsiCo Việt Nam lại đi thu mua nguyên liệu từ Trung Quốc (!?). Thậm chí, PepsiCo Việt Nam lại giấu kỹ thông tin này và "mập mờ" quảng cáo là chất lượng, công nghệ Nhật Bản. Doanh nghiệp này lấy "mác" Nhật Bản để câu khách, trong khi nguyên liệu thì không dính dáng gì đến điều này. Nghịch lý này không những gây nên sự bất bình, thiệt thòi đối với người nông dân trong nước mà còn tiềm ẩn nguy cơ mất an toàn thực phẩm, nguy hại đến sức khỏe người tiêu dùng Việt. |





Bình luận bài viết (0)
Gửi bình luận