Nhận bản tin miễn phí
Thời sự Xây dựng Giao thông Kinh tế Pháp luật Chất lượng sống Văn hóa - Giải trí Thể thao Công nghệ Thế giới Đi ++ Video Multimedia
Báo Xây dựng - Tin tức trong ngày, tin mới nhất, tin nhanh 24h Giáo dục

Đáp án đề thi vào lớp 10 môn Toán tỉnh Hậu Giang năm 2020

Đáp án đề thi vào lớp 10 môn Toán tỉnh Hậu Giang năm 2020

18/07/2020, 15:46

Đáp án đề thi tuyển sinh vào lớp 10 môn Toán ở Hậu Giang năm 2020, Báo Giao thông cập nhật đầy đủ, chính xác sau khi thí sinh kết thúc môn thi.

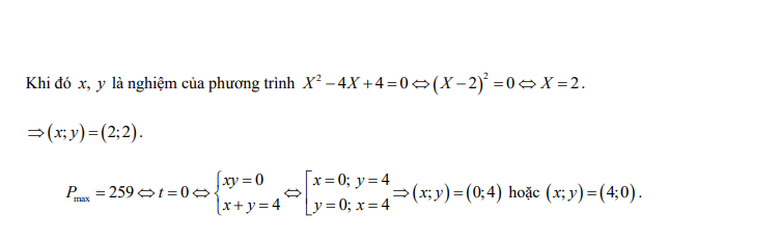
img
img
img
img
img
img
img

>>> Đề thi vào lớp 10 môn Toán tỉnh Hậu Giang năm 2020:

img
img

Bạn cần đăng nhập để thực hiện chức năng này!

Bạn không thể gửi bình luận liên tục. Xin hãy đợi
60 giây nữa.